Kun hoidat veroasioita elinkeinonharjoittajana, maataloudenharjoittajana tai metsätaloudenharjoittajana, valitse OmaVeroon kirjautumisen jälkeen linkki Hoida omia veroasioita. Tämän linkin kautta pääset hoitamaan kaikkia veroasioitasi. Lue lisää: Uutta OmaVerossa
Kunta ja maanomistaja voivat laatia uuden kaavoituksen suunnitteluvaiheessa maankäyttösopimuksen, jolla sovitaan kaavoituksessa muodostuvan arvonnousun korvaamisesta kunnalle.
Tässä ohjeessa käsitellään maan arvonnousun perusteella kunnalle maksettavan sopimusperusteisen maankäyttömaksun vaikutusta maanomistajan omistukseen jäävien kaavoitettavien alueiden hankintamenoon. Lisäksi käsitellään kaavoitukseen ja maankäyttösopimukseen liittyvän maanluovutuksen luovutusvoiton verotusta. Ohje koskee pääosin tuloverolain mukaista verotusta, mutta ohjeen lopussa olevissa luvuissa käsitellään lyhyesti myös maatilatalouden tuloverolain ja elinkeinoverolain mukaista verotusta.
Maanomistajan luovutusvoittoverotuksen toimittamista varten kunnan ja maanomistajan on esitettävä Verohallinnolle selvitys järjestelyn kohteena olevien maa-alueiden sopimushetken käyvistä arvoista ja kaavoituksesta maanomistajalle jäävälle maalle kohdistuvasta arvonnoususta.
Ohjetta on päivitetty vastaamaan varainsiirtoveron muuttamisesta annetulla lailla (21.12.2023/1185) 1.1.2024 voimaan tulleita muutoksia siltä osin kuin ohjeessa on käsitelty kiinteistön luovutuksesta suoritettavan varainsiirtoveron määrää. Lakimuutoksella alennettiin kiinteistöluovutusten verokantaa yhdellä prosenttiyksiköllä siten, että 3 %:n verokantaa sovelletaan 12.10.2023 tai sen jälkeen tehtyihin kiinteistön luovutuksiin.
Päivityksen yhteydessä ohjeen viittaukset toisiin Verohallinnon ohjeisiin on ajantasaistettu. Viittaukset maankäyttö- ja rakennuslakiin (132/1999) on korvattu maankäyttö- ja rakennuslain muuttamisesta annetulla lailla (752/2023) 1.1.2025 voimaan tulleen nimikemuutoksen vuoksi viittauksilla alueidenkäyttölakiin. Lisäksi tekstiin on tehty vähäisiä täsmennyksiä ja kirjoitusasun korjauksia, joilla ei ole vaikutusta aiemman ohjeistuksen sisältöön.
1 Maan luovuttaminen kunnalle rakennustarkoitukseen
Kunnat varautuvat vastaisiin rakentamistarpeisiin useilla tavoilla. Maata hankitaan hyvissä ajoin kunnan omistukseen käytettäväksi kaavoitukseen ja sitä kautta kunnan omiin toimintoihin sekä myytäväksi tai vuokrattavaksi asuinrakentamiseen, teollisuuteen tai muuhun liiketoimintaan. Tämänkaltaiset kunnan maanhankinnat tai maanvaihdot ovat tavanomaisia kauppoja luovutusvoittoverotuksen kannalta.
Maanomistaja voi myös myydä kaavahankkeen alkamisen jälkeen kaavan alueelle kuuluvan maansa kunnalle. Myös tällöin kyse on tavallisesta kaupasta tai vaihdosta. Maan arvostuksen osapuolet huomioivat tilanteen mukaisella tavalla. Luovuttajan on varauduttava esittämään Verohallinnolle vaihtokohteiden arvostuksesta ulkopuolisen tahon laatima arvostuslausunto. Arvostukseen voi vaikuttaa valmisteilla oleva kaavahanke. Arvostamista käsitellään tarkemmin ohjeen Kiinteistö- ja asuntovarallisuuden arvostaminen perintö- ja lahjaverotuksessa luvussa 3.2.
Kunta voi myös käyttää lunastusmenettelyä maa-alueiden hankkimiseksi. Tällöin lunastushinta määräytyy noudattaen soveltuvin osin, mitä kiinteän omaisuuden ja erityisten oikeuksien lunastuksesta annetussa laissa (603/1977) säädetään korvauksen perusteista. Käytännössä lunastushinta lienee pääsääntöisesti alhaisempi kuin tavanomaisen kaupan kauppahinta.
Tuloverolaissa (1535/1992, TVL) on erityissäännös TVL 49 §, joka koskee kunnalle tapahtuvia kiinteistöluovutuksia. Säännöksen mukaan luovutettaessa kiinteistöä kunnalle voidaan hankintameno-olettamana käyttää 80 prosenttia tavanomaisen 20 tai 40 prosentin olettaman asemasta (TVL 46 §).
Käytännön asiakirjoista ei aina suoraan ilmene, mikä tässä ohjeessa kuvatuista tilanteista kulloinkin on kyseessä. Sen vuoksi lukijan on tärkeää selvittää itselleen, minkä ohjeessa kuvatun vaihtoehdon mukainen maankäyttösopimustilanne on kyseessä, jotta sopimuksen verotusta koskevat päätelmät ja laskelmat tehdään oikeista lähtökohdista. Sopimuksen laatimisvaiheessa on hyvä tunnistaa eri vaihtoehdot ja niiden luonne ja laatia sopimus selkeästi ja aidot raha-arvot esiin tuoden.
Varainsiirtoveron määräytymistä maankäyttösopimustilanteissa käsitellään ohjeen Varainsiirtovero kiinteistön luovutuksessa luvussa 4.5 ja luvussa 7.3.
2 Maankäyttösopimus
Kun maankäytön tarpeet ovat ajankohtaisia, kunta aloittaa kaavoitustyön. Kaavoitettavat alueet voivat olla kunnan omistuksessa tai yksityisessä omistuksessa. Kaavan valmistuttua tonttien omistajilla tai vuokraajilla on mahdollisuus hakea kaavan mukaisen käyttötarkoituksen mukaisia rakennuslupia omalle tontilleen tai kunnalta ostamalleen tai vuokraamalleen tontille.
Alueidenkäyttölain (132/1999) mukaan alueen maanomistajalla, jolle asemakaavasta aiheutuu merkittävää hyötyä, on velvollisuus osallistua kunnalle yhdyskuntarakentamisesta aiheutuviin kustannuksiin. Kaavasta ja yhdyskuntarakentamisesta aiheutuvien kustannusten määrä suhteessa kaavan tuomaan arvonnousuun vaihtelee tapauskohtaisesti.
Kustannusten maksaminen kunnan ja maanomistajan kesken tehdyllä maankäyttösopimuksella on säädetty laissa ensisijaiseksi toimintavaihtoehdoksi. Tavanomainen maankäyttösopimuksissa noudatettu korvaustaso vaihtelee tapauskohtaisesti ja on kunnan harkinnan mukaan yleensä 40–60 % arvonnousun määrästä.
Maankäyttösopimukset tehdään käytännössä rinnan kaavoituksen kanssa pitäen sopimuksen perusteena suunnitellun kaavan lopputulosta. Maankäyttösopimus on kuitenkin osapuolia sitova vasta sen jälkeen, kun kaavaluonnos tai -ehdotus on tullut julkisesti nähtäville. Maankäyttösopimuksella ei voida sopia laadittavan kaavan sisällöstä, koska kaavoitus on yksin kunnan päätettävissä.
Ellei maankäyttösopimusta tehdä, kunta perii kuluosuuden maanomistajalta kehittämiskorvauksena kaavan valmistumisen jälkeen. Kehittämiskorvauksena peritään tontin arvonnousuun suhteutettu osuus kaavan laatimisen ja alueen yhdyskuntarakentamisen arvioiduista kustannuksista. Kehittämiskorvauksen määrä voi olla kuitenkin enintään 60 % asemakaavasta johtuvasta asemakaavan mukaisen tontin arvonnoususta. Tämä lakisääteinen enimmäismäärä vaikuttaa myös siihen, millaisia vapaaehtoisia maankäyttösopimuksia tehdään.
Jos maanomistaja ja kunta tekevät kaavahankkeen aikana sopimuksen kaavoitettavaa aluetta koskevasta maanluovutuksesta tai maanvaihdosta otsikoimatta sopimusta maankäyttösopimukseksi, sovelletaan pääsääntöisesti tässä ohjeessa kuvattuja ratkaisuperusteita. Ratkaisevaa on sopimuksen sisältö ja tarkoitus eikä sopimuksen otsikointi.
3 Maankäyttömaksun euromääräisen suuruuden määrittäminen
Suoritetaanpa maankäyttömaksu rahana tai luovuttamalla maata kunnalle, kunnan ja maanomistajan on varauduttava esittämään verotusta varten selvitystä. Selvitys tarvitaan erityisesti maanomistajan kunnalle luovuttamien alueiden luovutusvoittoverotuksessa ja maanomistajan kunnalta vaihdossa saaman maan varainsiirtoverotuksessa. Selvitykseksi tarvitaan maankäyttösopimuksen kopio ja maata suuntaan tai toiseen luovutettaessa kopio luovutuskirjasta tai vaihtokirjasta. Lisäksi on esitettävä selvitys maankäyttömaksun laskennan perusteista.
Käytännössä yllä mainittu tarkoittaa omistajalle jäävän alueen arvonnousun määrän selvittämistä ja vaihtotilanteissa myös kunnan luovuttaman maan arvon selvittämistä. Kunnan tai maanomistajan ei voida olettaa luopuvan vastikkeetta oikeuksistaan, joten käytännössä suoritukset vastaavat toisiaan.
Verohallinto joutuu arvioimaan maankäyttömaksun määrän, jos maankäyttömaksun perusteesta ja euromäärästä ei anneta selvitystä tai sen suuruudeksi ilmoitetaan esimerkiksi pelkkä kunnalle maksuna luovutetun kaavoitettavan maan arvo huomioimatta kaavoitushankkeen vaikutusta.
Sopimukset laaditaan yleensä siten, että niiden ehtona on kaavoituksen toteutuminen. Sopimus siis tulee voimaan vain, jos kaavoitus toteutuu. Tästä seuraa, että ennen kaavan toteutumista tehdyssä sopimuksessa ehdot sovitaan olettaen, että kaavoitus on toteutunut. Kaava-alueet arvostetaan myös verotuksessa tämän mukaisesti.
Verohallinto selvittää maankäyttömaksun euromäärää arvioidessaan ensin maanomistajalle jäävän kaavoitettavan maan käyvän arvon ilman kaavaa. Seuraavaksi selvitetään kyseisessä paikassa sijaitsevan kaavoitetun alueen käypä arvo. Näiden erotus on arvonnousun määrä. Tarkastelussa käytetään apuna alueella toteutuneiden kauppojen vertailuhintoja ja muutoinkin niitä perusteita, joita on esitetty Verohallinnon julkaisemissa arvostamista koskevissa ohjeissa Varojen arvostamisen yleiset periaatteet perintö- ja lahjaverotuksessa, Kiinteistö- ja asuntovarallisuuden arvostaminen perintö- ja lahjaverotuksessa tai Maatilan arvostaminen perintö- ja lahjaverotuksessa.
Huomio osio alkaa
Esimerkki 1:
Kaavoitettava, maanomistajalle jäävä alue on taajaman läheisyydessä oleva 5 hehtaarin pelto. Pellon arvo on kyseisellä alueella 10 000 euroa hehtaarilta, joten pelkkänä peltona alueen arvo olisi noin 50 000 euroa. Alue on kuitenkin sijainniltaan hyvä ja ilman kaavaakin potentiaalista rakennusaluetta lähitulevaisuudessa, joten sen sopimushetken käypä arvo ylittää selvästi pelkän pellon arvon. Alueen arvioitu arvo on 200 000 euroa. Kaavoitettuna asuinrakennuskäyttöön alueen arvo on noin 1 000 000 euroa. Arvonnousua on siten 800 000 euroa.
Jos kunnassa edellytetään maankäyttömaksun osuudeksi 55 % arvonnoususta, maankäyttömaksuksi muodostuu 440 000 euroa (= 55/100 x 800 000). Tämän maanomistaja voi maksaa rahana tai luovuttamalla muuta maata 440 000 euron arvosta.
Huomio osio päättyy
4 Maankäyttömaksun maksaminen
Maanomistaja voi suorittaa kunnalle maankäyttösopimuksen mukaisen maksun haltuunsa jäävistä kaavoitettavista alueista pääasiassa neljällä eri tavalla:
- maksamalla sopimussumman rahana kunnalle
- luovuttamalla kunnalle omistamaansa, kaavoitettavaksi tarkoitettua tai muuta maata
- luovuttamalla kunnalle rahaa ja kaavoitettavaksi tarkoitettua tai muuta maata
- tekemällä kunnan kanssa sopimuksen maanvaihdosta, jonka yhteydessä voidaan maksaa myös välirahaa suuntaan tai toiseen. Näin voidaan paitsi hoitaa maankäyttömaksu, samalla mahdollistaa maanomistajan maatalous- tai muun toiminnan jatkuminen kunnan vaihdossa luovuttamalla alueella. Järjestelyt ovat tapauskohtaisia ja niissä yhdistyy maankäyttösopimus ja tavanomainen maanvaihto.
Seuraavissa luvuissa käsitellään kutakin yllä mainittua tilannetta erikseen.
4.1 Maankäyttömaksu rahana
Maanomistaja voi pitää itsellään kaava-alueella sijaitsevan kiinteistönsä ja maksaa rahana kunnalle maankäyttösopimuksen mukaisen korvauksen maan arvon noususta. Maankäyttömaksu on maanomistajan kiinteistön kaavoitettuun osaan kohdistuva kustannus, joka lisätään kaavoitetun alueen hankintamenoon vastaista luovutusvoittoa laskettaessa.
Jos kiinteistön kaavoitettavilla osilla on toisistaan poikkeavia rakennusoikeuksia, kohdistetaan hankintamenon lisäys niiden kesken rakennusoikeuksien arvojen suhteessa. Tyypillisesti eroja rakennusoikeuksien arvoihin muodostuu esimerkiksi rakennuspaikan sijoittumisesta rantaan, rakennuspaikkojen erilaisista rakennustehokkuuksista tai rakennusoikeuden kohteena olevien rakennustyyppien eroista (esimerkiksi teollisuusrakennukset, liikerakennukset, kerrostalot, pientalot).
Jos maankäyttösopimusta ei tehdä, maanomistajalle kaavan valmistumisen jälkeen määrättävä kehittämiskorvaus lisätään kaavoitettavan maan hankintamenoon kuten maankäyttösopimuksen mukainen rahakorvaus. Kehittämiskorvausta on käsitelty tarkemmin luvussa 6.
4.2 Maankäyttömaksu kaavan ulkopuolista maata luovuttamalla
Maanomistajan haltuun jäävän kaavamaan arvo arvioidaan luvussa 3 kuvatulla tavalla alueella yleisesti toteutuvan hintatason mukaisena. Saman alueen arvo arvioidaan myös kaavoittamattomana. Näiden kahden tiedon avulla lasketaan kaavoituksesta aiheutuvan maan arvonnousun määrä ja myös kunnalle perittävän maankäyttömaksun euromääräinen suuruus.
Huomio osio alkaa
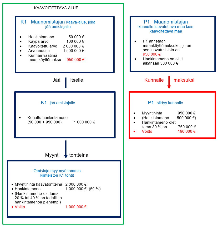
Esimerkki 2:
(pohjatilanne)
Maanomistajalle jäävän yksittäisen kiinteistön K1 arvo peltona on 50 000 euroa ja sopimushetken mukaisena raakamaana 100 000 euroa. Kaavoitettuna maan arvo on 2 000 000 euroa. Arvonnousua on siten 1 900 000 euroa ja maankäyttömaksun määrä on kunnan tässä tapauksessa edellyttämä 950 000 euroa. Aikanaan K1 on ostettu 50 000 eurolla.
Maanomistajan omistama kiinteistö K1
- Hankintameno 50 000 €
- Käypä arvo 100 000 €
- Kaavoitettu arvo 2 000 000 €
- Arvonnousu 1 900 000 €
- Kunnan vaatima maankäyttömaksu 950 000 €
Huomio osio päättyy
Jos maanomistaja luovuttaa osan kaava-alueeksi tulevasta maasta tai jonkin muun maa-alueen kunnalle maksuksi arvonnoususta, joka kohdistuu hänen omistukseensa jäävään kaavoitettavaan alueeseen, kyseessä on veronalainen luovutus. Seuraavassa kuvattua menettelyä noudatetaan, ellei maanomistaja osoita kunnan kanssa sovitun luovutuksen ehtoja ja maa-alueiden arvostusta ja arvonnousun perusteita muulla tavoin.
Luovutusvoiton verotuksessa oletuksena on, että luovutetun maan myyntihinta vastaa maanomistajalle jäävän kaavoitettavan alueen arvonnoususta kunnalle maksettavaa määrää. Luovutetun alueen hankintamenona on alkuperäisestä maan hankintahinnasta myydylle osalle kohdistuva osuus tai vaihtoehtoisesti hankintameno-olettama. TVL 49 §:n mukaan luovutettaessa kiinteistöä kunnalle voidaan hankintameno-olettamana käyttää 80 % tavanomaisen 20 tai 40 %:n olettaman asemasta (TVL 46 §).
Huomio osio alkaa
Esimerkki 3:
(jatko esimerkille 2, luovutetaan maksuksi kaava-alueen ulkopuolista maata)
Luovutetun maa-alueen luovutusvoitto
Kun maanomistaja luovuttaa aikanaan 500 000 eurolla hankkimansa kaava-alueen ulkopuolisen maa-alueen (P1) maankäyttömaksuna, luovutetun maan arvo vastaa 950 000 euron suuruista maankäyttömaksua. Tällöin luovutetun maan myyntihinta on 950 000 euroa ja hankintamenoa on luovutetun alueen alkuperäinen hankintameno 500 000 euroa. Koska maanomistaja saa kunnalle luovutettaessa kuitenkin vaihtoehtoisesti vähentää 80 %:n suuruisen hankintameno-olettaman, käytetään sitä tässä tapauksessa edullisempana vaihtoehtona. Tällöin hankintamenoksi saadaan 760 000 euroa (= 80 % x 950 000 euroa). Verotettavaksi luovutusvoitoksi muodostuu 190 000 euroa (= 950 000 euroa - 760 000 euroa = 190 000 euroa).
Omistajalle jääneen kaavamaan hankintamenon lisääntyminen ja mahdollisten myöhempien tontinmyyntien luovutusvoiton verotus
Kaavoitettavan kiinteistön K1 kaavamaan osuudelle lisätään aikaisemman hankintahinnan (tässä tapauksessa esimerkin 2 mukaisesti 50 000 euroa) lisäksi hankintamenoa maankäyttömaksuna maksettu määrä eli 950 000 euroa. Yhteensä hankintameno on 1 000 000 euroa. Jos maanomistajan kaavoitetut tontit myydään myöhemmin esimerkiksi 2 000 000 eurolla (oletettu kaavoitetun K1:n käypä arvo esimerkin 2 mukaan), voidaan hankintamenona vähentää 1 000 000 euroa tai omistusajan keston perusteella 20 tai 40 %:n hankintameno-olettama. Koska todellinen hankintameno on 50 % myyntihinnasta, se on verovelvolliselle edullisempi, ja sitä käytetään luovutusvoiton laskennassa. Verotettavaa luovutusvoittoa kertyy 1 000 000 euroa.

Huomio osio päättyy
4.3 Maankäyttömaksu kaavoitettavaa maata luovuttamalla
Jos kunta saa maanomistajalle jäävästä kaavoitettavasta maasta maksuksi maa-alueen, ei kunta hinnoittele saamansa maan arvoon mukaan alueeseen sisältyvää, sille itselleen tulevaa maankäyttömaksua. Kunta ei toisin sanoen maksa maankäyttömaksun osuutta alueesta, joka sillä on tai jonka se kaavoitusvaiheessa saa.
Yllä todetusta seuraa, että kunnalle luovutetun kaavoitettavan maan ja omistajalle jäävän kaavoitettavan maan käyvät arvot poikkeavat sopimushetkellä toisistaan. Luovutettavan maa-alueen arvon on vastattava maanomistajalle jäävän maan arvonnoususta kunnalle perittävää osuutta, joka on yleensä noin 40–60 % arvonnoususta.
Huomio osio alkaa
Esimerkki 4:
(jatko esimerkille 2 ja 3, luovutetaan kaavoitettavaksi tulevaa maata)
Maankäyttömaksun suuruus on sama 950 000 euroa kuin esimerkeissä 2 ja 3. Maksu toteutetaan eri tavalla. Maanomistaja luovuttaa kiinteistön K1 maankäyttömaksuksi aikanaan 50 000 eurolla hankittua kaavoitettavaksi tulevaa maata kiinteistöstä K2. Luovutetun maan arvo kattaa 950 000 euron suuruisen maankäyttömaksun. Luovutetun maan myyntihinta on siten 950 000 euroa ja sen hankintameno on alkuperäinen hankintahinta eli 50 000 euroa. Kunnalle luovutettaessa maanomistaja saa kuitenkin vaihtoehtoisesti vähentää 80 %:n suuruisen hankintameno-olettaman, joten sitä käytetään tässä tapauksessa edullisempana vaihtoehtona. Tällöin hankintamenoksi saadaan 760 000 euroa (= 80 % x 950 000 euroa), ja verotettavaksi luovutusvoitoksi muodostuu 190 000 euroa (=950 000 euroa - 760 000 euroa = 190 000 euroa).
Lopputulos olisi sama myös siinä tapauksessa, että maanomistajalle jäävä kaavamaa ja kunnalle luovutettava kaavamaa olisivat samasta kiinteistöstä. Tällaisessa tapauksessa alkuperäinen hankintameno kohdistetaan maanomistajalle itselle jäävään ja luovuttamaan osuuteen. Kohdistus tehdään ostohetken tilanteen mukaan alueiden pinta-alojen suhteessa ja ottamalla huomioon alueiden käyttötarkoitus (pelto, metsä, joutomaa, rakennuspaikka).

Myyntihintana on aina maksajan omistukseen jäävän maan arvonnoususta sopimuksessa määritelty määrä eli kunnan vaatima osuus. Kaavahankkeen vaikutus näkyy kuitenkin siinä, että kaavoitettavaksi tulevaa maata (oikeastaan rakennusoikeutta) ei tarvitse luovuttaa niin suurta määrää kuin kaavoittamattomaksi jäävää muuta maata. Kunta ottaa kaavoitettavaksi tulevaa maata vastaan arvolla, josta vähennetään kuitenkin arvonnoususta perittävää maankäyttömaksua vastaava osuus.
Kaavoitettavan kiinteistön K1 kaavamaan osuudelle lisätään hankintamenoksi aikaisemman hankintahinnan (50 000 euroa) lisäksi maankäyttömaksuna maksettu määrä eli 950 000 euroa. Yhteensä hankintameno on 1 000 000 euroa. Jos maanomistajan kaavoitetut tontit myydään 2 000 000 eurolla (oletettu kaavoitetun K1:n käypä arvo), voidaan hankintamenona vähentää edellä laskettu 1 000 000 euroa tai omistusajan keston perusteella 20 tai 40 %:n hankintameno-olettama. Koska todellinen hankintameno on 50 % myyntihinnasta, se on verovelvolliselle edullisempi ja sitä käytetään luovutusvoiton laskennassa. Verotettavaa luovutusvoittoa kertyy 1 000 000 euroa.
Esimerkki 5:
(hankintamenon muutokset)
Edellä olevissa esimerkeissä on esitetty maanomistajalle jäävän kaavoitetun maan hankintamenon lisääntyminen maankäyttömaksun määrällä. Tässä esimerkissä kuvataan hankintamenon lisäyksen kohdentumista ja toisaalta hankintamenon vähentymistä myyntien yhteydessä. Esimerkki on muulta osin pelkistetty.
Oletetaan, että maanomistajalla on kiinteistö, josta 30 % on peltoa ja 70 % metsää. Koko kiinteistön hankintahinta on 100 000 euroa. Ostohetken hintojen perusteella pellon hinta oli kaksinkertainen verrattuna metsän hintaan. Hankintamenosta kohdentuu siten peltoon 85 000 euroa (= 100 000 euroa - ½ x 30/100 x 100 000 euroa) ja metsään 15 000 euroa (= ½ x 30/100 x 100 000 euroa).
Alueelle tulee kaava, jonka mukaiset tontit sijoittuvat peltoalueelle kattaen siitä puolet. Tästä seuraa, että tapauksessa maksettava 500 000 euron maankäyttömaksu lisää pellolle tulleiden kaavatonttien alueen hankintamenoa.
- Kaavoittamattomaksi jääneen pellon hankintameno on tämän jälkeen pinta-alan suhteessa puolet alkuperäisestä pellon ostohinnasta eli 42 500 euroa (= ½ x 85 000 euroa).
- Metsän hankintameno on edelleen 15 000 euroa.
- Tonttimaaksi kaavoitetun pellon hankintameno on 542 500 euroa (= ½ x 85 000 euroa + 500 000 euroa).
Tiedossa on, että tonttialueella on kahdeksan samanarvoista tonttia, joten kunkin tontin hankintameno on 67 812,50 euroa (= 542 000 euroa/8). Tonttien vertailussa olennaista on rakennusoikeuden määrä. Tontin erityinen sijainti voi myös tehdä siitä toisia saman alueen vastaavia tontteja arvokkaamman. Maankäyttömaksun hankintamenoa korottava vaikutus kohdennetaan vain omistajalle jäävään kaavoitettavaan maahan.
Tonttien myynnin seurauksena kunkin alueen tai tontin osalle tuleva hankintameno poistuu rippumatta siitä, käytetäänkö luovutusvoiton laskennassa todellista hankintamenoa tai hankintameno-olettamaa. Kun kiinteistöstä myydään muita alueita kuin tontteja, kyseisen alueen yhteisestä hankintamenosta vähennetään yleensä pinta-alan suhteen mukainen osa riippumatta siitä, myydäänkö alueita maankäyttömaksun maksamiseksi vai muuhun tarkoitukseen.
Huomio osio päättyy
4.4 Maankäyttömaksu luovuttamalla rahaa ja kaavoitettavaksi tarkoitettua maata
Luovutetun maa-alueen luovutusvoitto lasketaan kuten edellisessä luvussa on esitetty. Tällaisessa tilanteessa otetaan kuitenkin huomioon, että osa maankäyttömaksusta suoritetaan rahana ja vain muu osa maankäyttömaksusta on luovutetun maan myyntihintaa.
Omistajalle jäävän kaavoitetun maan hankintamenoon lisätään sekä maksettu rahasumma että luovutetun maa-alueen myyntihinnaksi katsottu määrä.
4.5 Luovutusvoiton laskenta, kun maanomistaja ja kunta sopivat maa-alueiden vaihdosta ja välirahan maksusta maankäyttösopimuksella
Kunta ja maanomistaja voivat tehdä maankäyttösopimuksen, jossa osapuolet vaihtavat kiinteistöjä ja jompikumpi osapuoli maksaa välirahaa. Tarkoituksena on, että osapuolet sekä saavat että luovuttavat yhtä suuren raha-arvon verran varallisuutta.
Tällaiset maa-alueiden vaihdot verotetaan luovutuksena kuten vaihdot yleensäkin. Kun vaihdossa kunnalle annetuille maa-alueille määritetään luovutushintaa, huomioidaan sekä järjestelyssä suoritettava maankäyttömaksu että maanomistajan kunnalta saaman maan arvo. Vaihdossa annettavat maa-alueet vastaavat arvoltaan toisiaan ja mahdolliset arvoerot tasataan jommankumman osapuolen maksamalla välirahalla.
Muutoin luovutusvoittoverotuksen ja hankintamenon määräytymisen periaatteet vastaavat edellisissä luvuissa kuvattua.
Huomio osio alkaa
Esimerkki 6:
A omistaa kaavoitettavaksi suunnitellun kiinteistön T1 ja kiinteistön T2, josta noin puolet on suunniteltu kaavoitettavaksi. Kunta ja A solmivat maankäyttösopimuksen.
T1:n hankintameno oli ostettaessa 100 000 euroa ja T2:n hankintameno oli 200 000 euroa. Kumpikin kiinteistö on maankäyttösopimuksen tekohetkellä peltoa. A:n on tarkoitus jatkaa viljelyä, mutta hän haluaa myös pitää omistuksessaan kiinteistön T1.
A luovuttaa kiinteistön T2 kokonaisuudessaan kunnalle osapuolten sopimasta 3 200 000 euron arvosta. Arvosta puuttuu kiinteistön T2:n tulevasta arvonnoususta kunnalle maksettavaa kehittämiskorvausta vastaava osuus, koska sen maksaminen raukeaa T2:n siirtyessä kokonaan kunnalle.
Kunta luovuttaa A:lle peltomaata olevan kiinteistön R. Kiinteistön R vaihtohetken arvo peltomaana on 500 000 euroa. Kiinteistö R ei ole kaavasuunnitelman piirissä. Lisäksi kunta maksaa A:lle rahana 100 000 euroa.
Jos osapuolet eivät ole kirjanneet sopimukseen maa-alueiden arvoja tai muutoin selvittäneet niitä, Verohallinto määrittää arvot tukeutuen ohjeessa aiemmin mainituissa Verohallinnon arvostamista koskevissa ohjeissa kirjattuihin perusteisiin.

Verotus:
A antaa kunnalle 3 200 000 euron arvoiseksi arvioidun kiinteistön T2 ja saa sen avulla maksetuksi maankäyttömaksua 2 600 000 euroa kiinteistön T1 arvonnousun korvaukseksi ja ostettua kunnalta kiinteistön R 500 000 eurolla. Lisäksi A saa rahaa kunnalta 100 000 euroa.
A:lla verotetaan vaihdon yhteydessä luovutusvoitto kiinteistöstä T2. Kiinteistön myyntihinta on 3 200 000 euroa ja hankintameno on alkuperäinen hankintahinta eli 200 000 euroa. Koska kunnalle luovutettaessa maanomistaja saa kuitenkin vaihtoehtoisesti vähentää 80 %:n suuruisen hankintameno-olettaman, käytetään sitä tässä tapauksessa edullisempana vaihtoehtona. Tällöin saadaan hankintamenoksi 2 560 000 euroa (= 80 % x 3 200 000 euroa), ja verotettavaksi luovutusvoitoksi muodostuu 640 000 euroa.
A:lle jääneelle kiinteistölle T1 lisätään hankintamenoksi maankäyttömaksun määrä 2 600 000 euroa, joka jakautuu siitä muodostettaville tonteille niille vahvistettavien rakennusoikeuksien suhteessa. Kiinteistön T1 hankintameno on yhteensä 2 700 000 euroa, kun otetaan huomioon alkuperäinen ostohinta 100 000 euroa.
A:n saaman kiinteistön R hankintameno on 500 000 euroa. A maksaa R:n ostosta varainsiirtoveroa 3 %:n mukaan laskettuna 15 000 euroa. Kunta on vapautettu kiinteistökaupan varainsiirtoverosta. Kunta ei maksa luovutusvoitosta veroa.
Jos A myy tontit myöhemmin 5 000 000 eurolla, hänelle muodostuu niiden myynnistä 2 300 000 euron voitto (= 5 000 000 euroa - 2 700 000 euroa). Lisäksi A voi vähentää voitosta tonttien alkuperäisen hankinnan varainsiirtoveron ja mahdolliset myyntikulut. Hankintameno-olettama (omistusajan keston perusteella 20 % tai 40 %) on epäedullisempi kuin todellinen hankintameno. Voittoa verotetaan niinä verovuosina, joina tontteja myydään.
|
T2 Siirtyy kunnalle |
T1 kaavoitetaan ja jää maanomistajalle |
R siirtyy kunnalta maanomistajalle |
|---|---|---|
|
|
|
Huomio osio päättyy
4.6 Yleiseen käyttöön tulevien maa-alueiden luovuttaminen
Kaavoitettavaan alueeseen sisältyy myös yleiseen käyttöön tulevia alueita, kuten katualueeksi, toriksi, liikennealueeksi, virkistysalueeksi tai näihin verrattavaksi alueeksi osoitettua kunnan, valtion tai muun julkisyhteisön toteutettavaksi tarkoitettua aluetta.
Yleisten alueiden luovutusperusteet vaihtelevat, mutta joissakin tapauksissa maanomistajat joutuvat luovuttamaan niitä kunnalle alueidenkäyttölain 104—107 §:ien nojalla lunastusta vastaan tai lunastuksetta.
Lunastettavasta omaisuudesta on määrättävä omaisuuden käyvän hinnan mukainen täysi korvaus (niin sanottu kohteenkorvaus). Jos käypä hinta ei vastaa luovuttajan täyttä menetystä, arvion on perustuttava omaisuuden tuottoon tai siihen pantuihin kustannuksiin (laki kiinteän omaisuuden ja erityisten oikeuksien lunastuksesta, 30 §). Luovutusvoitot lasketaan rekisteriyksiköittäin.
Yleiseksi alueeksi kaavoitettavia alueita on myös mahdollista luovuttaa maankäyttömaksuna kunnalle. Yleiseksi alueeksi tarkoitetun alueen sopimushetken arvo ei ole yhtä korkea kuin rakennusmaaksi kaavoitettavan maan arvo. Esimerkiksi katualueeksi määritelty maa-alue on jatkossa käytännössä arvoton, joten sopimushetkellä lunastuskorvaus määräytyisi lähinnä puuston arvolla tai alueen kunnostamiseen uhrattujen panostusten määrällä. Panostusta saattaisi olla esimerkiksi pellon ojitus.
- Hankintamenoksi lasketaan kullekin luovutetulle alueelle pääsääntöisesti pinta-alan mukaan kohdistuva osuus rekisteriyksikön alkuperäisestä hankintamenosta.
- Luovutushinta on jaettava oikeassa suhteessa luovutettujen alueiden kesken. Luovutusvoiton laskennassa kaikkien maalajien myyntihinnat lasketaan yhteen, jos kaikki luovutettava maa on samasta rekisteriyksiköstä ei merkitystä ole sillä, onko maa-alue kaavoitettavaa rakennusmaata, kaavoitettavaa yleiseen käyttöön tulevaa maata tai ei-kaavoitettavaa maata.
- Jos sen sijaan kaavan tulevat yleiset alueet, kaavaan tulevat rakennusmaat ja muut alueet, esimerkiksi pelto tai metsä luovutetaan eri rekisteriyksiköstä, on kunkin alueen luovutusvoitto laskettava erikseen. Luovutusarvo määräytyy kunkin kohteen todellisen sopimushetken mukaisen arvon mukaan. Luovutettavan yleisen alueen maan arvoksi on katsottava se hinta, jonka kunta joutuisi siitä lunastuksen yhteydessä maksamaan. Kunnan ja maata luovuttavan maanomistajan on verotusta varten esitettävä kunkin rekisteriyksikön tulevan maan arvo ja arvostuksen perusteet.
Huomio osio alkaa
Esimerkki 7:
Maanomistajalle jäävän yksittäisen kiinteistön K1 arvo raakamaana on 100 000 euroa. Kaavoitettuna maan arvo on 2 000 000 euroa. Arvonnousua on siten 1 900 000 euroa. Kyseinen kunta edellyttää 50 %:n suuruisen maankäyttömaksun maksamista, joten sopimukseen kirjataan maankäyttömaksun määräksi 950 000 euroa. Aikanaan K1 on ostettu 50 000 eurolla.
Maanomistaja luovuttaa kunnalle muista kiinteistöistään kaavoitettavaa, mutta sopimushetkellä vielä metsämaana olevaa maata suorittaakseen maankäyttömaksun ja pitääkseen kiinteistön K1. Metsää hän luovuttaa seuraavasti:
- kiinteistöstä M1 kaavoitettavaa rakennusmaata varten 20 000 m2
- kiinteistöstä M2 kaavoitettavaa yleistä aluetta varten 30 000 m2 (katu ja puisto)
- kiinteistöstä M3 kaavoittamattomaksi jäävää maata 20 000 m2.
Luvussa 3 esitetyn mukaisesti kohdan 1 rakennusmaan arvo lähenee valmiin kaavamaan arvoa, joksi osapuolet ovat sopineet tai selvittäneet 920 000 euroa. Kohdassa 2 mainitun yleisen alueen arvo vastaisi lunastuskorvausta eli metsän puuston täyden arvon mukaista korvausta, joksi on sovittu ja selvitetty 15 000 euroa. 15 000 euroa on myös edelleen metsämaaksi jäävän kohdan 3 metsän arvo (maapohjan + puuston arvo). Arvot ja niiden jakautuminen voidaan hyväksyä verotuksen perusteeksi.
Kunkin metsäkiinteistön hankintameno on määräytynyt saman hehtaarihinnan mukaan, joten kustakin kiinteistöstä luovutetulla alueella on yhtä suuri hankintameno. Tässä tapauksessa kunkin kiinteistön hankintamenosta luovutetulle metsäalueelle kohdistuva hankintameno-osuus on 10 000 euroa. Tästä voidaan laskea luovutusvoitoiksi seuraavat summat.
- kiinteistön M1 luovutusvoitto on 910 000 euroa (= 920 000 euroa – 10 000 euroa). Hankintameno-olettamaa (80 %) käyttäen voitoksi saadaan 184 000 euroa.
- kummankin kiinteistön M2 ja M3 luovutusvoitto olisi hankintamenoilla laskettuna 5 000 euroa (= 15 000 euroa - 10 000 euroa). Kummankin kiinteistön luovutusvoitto on 80 %:n hankintameno-olettamalla laskettuna kuitenkin 3 000 euroa (= 15 000 euroa - 15 000 euroa x 80 %).
Kiinteistön K1 maankäyttömaksun määrä on 950 000 euroa. Se maksetaan luovuttamalla kolme aluetta metsämaata muista kiinteistöistä.
|
Siirtyy kunnalle M1 |
Siirtyy kunnalle M2 |
Siirtyy kunnalle M3 |
|---|---|---|
|
|
|
Huomio osio päättyy
Jos kohdan 2 tapauksessa yleiseksi alueeksi luovutettavan metsän puusto jäisi omistajalle, voidaan todeta, että kyseisellä alueella ei ole enää jäljelle jäävää lunastusarvoa.
5 Luovutusvoiton laskenta, kun maanomistaja ja kunta sopivat maa-alueiden vaihdosta ja välirahan maksusta ennen kaavahanketta
Kuten tämän ohjeen alussa on todettu, on maanomistajan ja kunnan välillä mahdollista tehdä maanluovutuksesta tai maanvaihdosta sopimuksia myös ennen kaavaprosessin alkamista. Tällöin ei tehdä maankäyttösopimusta vaan tavanomainen maakauppa tai maanvaihtosopimus.
Huomio osio alkaa
Esimerkki 8:
A luovuttaa kunnalle taajaman läheisen peltoalueen P1 käytettäväksi kunnan vastaisia rakennus- tai kaavoitustarpeita varten. Kaavoitusta ei ole vielä vireillä. Tällaisessa tilanteessa maa-alueen arvostus ei vastaa enää pellon arvoa, mutta ei välttämättä ole vielä sama kuin kaavoituksen jo ollessa vireillä. Hinnoittelu on osapuolten välinen neuvottelukysymys. Tässä tapauksessa oletetaan, että kunta hyväksyy maan arvoksi saman hintatason kuin maankäyttösopimuksissa.
Kunta luovuttaa A:lle korvaavan peltoalueen P2 kauempaa taajamasta. Tälle alueelle ei ole olemassa kaavahankkeita. Pelto mahdollistaa A:lle elinkeinon jatkamisen. Lisäksi kunta maksaa A:lle P1:n tulevan käyttötarkoituksen huomioon ottavan korvauksen maasta.

A:n saaman kiinteistön P2 hankintamenoksi kirjataan 150 000 euroa, joka vastaa pellon käypää arvoa paikkakunnalla. A maksaa kiinteistöstä P2 varainsiirtoveroa 3 prosentin mukaan 4 500 euroa.
A:n luovuttaman kiinteistön P1 luovutusvoitoksi lasketaan luovutushinta eli 2 400 000 euroa vähennettynä 80 %:n hankintameno-olettamalla. A:n verotettava luovutusvoitto on 480 000 euroa.
Huomio osio päättyy
6 Kehittämiskorvauksen maksaminen luovuttamalla maata kaavan vahvistamisen jälkeen
Alueidenkäyttölain mukaan alueen maanomistajalla, jolle asemakaavasta aiheutuu merkittävää hyötyä, on velvollisuus osallistua kunnalle yhdyskuntarakentamisesta aiheutuviin kustannuksiin. Kaavasta ja yhdysrakentamisesta aiheutuvien kustannusten määrä suhteessa kaavan tuomaan arvonnousuun vaihtelee tapauskohtaisesti.
Jos maankäyttösopimusta ei ole tehty, kuluosuus peritään maanomistajalle määrättävänä kehittämiskorvauksena kaavan valmistumisen jälkeen. Kehittämiskorvauksen määrä voi lain mukaan olla kuitenkin enintään 60 % asemakaavasta aihetuvasta maan arvonnoususta.
Kun maanomistaja myy maata kaavan valmistumisen jälkeen, verotettavaa luovutushintaa on rahana maksettavan kauppahinnan lisäksi kehittämiskorvauksen maksuvastuun siirtyminen ostajalle. Samoin jo aiemmin tehtyyn maankäyttösopimukseen perustuvan maankäyttömaksun siirtyminen ostajan vastattavaksi on osa verotettavaa luovutushintaa. Tämä perustuu siihen, että luovutuksen yhteydessä maanomistaja vapautuu hänelle sopimuksin tai kaavan vahvistamisella muodostuneesta velvoitteesta maksaa kiinteistöä rasittava maankäyttömaksu tai kehittämiskorvaus. Luovuttajan kannalta ei ole merkitystä, onko ostajana yksityinen taho vai kunta.
Maanomistajan omistukseen jäävään kaavamaahan sisältyy hankintamenona siihen kohdistuva kehittämiskorvaus tai sopimuksen mukainen maankäyttömaksu. Edellä kuvatulla tavalla sama määrä lisätään myös myyntihintaan, joten erät kuittaavat luovutusvoiton laskennassa toisensa.
Ohjeessa Varainsiirtovero kiinteistön luovutuksessa on luvussa 4.5 käsitelty varainsiirtoveron maksuvelvollisuutta, kun maksamaton kehittämiskorvaus tai maankäyttösopimukseen perustuva maankäyttömaksu rasittaa myytyä kiinteistöä.
7 Maatilatalouden tuloverolain mukainen verotus
Jos maanomistajan kunnalle maksuksi arvonnoususta luovuttama maa-alue on maatilatalouden tuloverolain mukaan verotettavaa metsää tai peltoa, verotetaan maanomistajan saama luovutusvoitto tässä ohjeessa kuvattujen periaatteiden mukaan tuloverolain nojalla (maatilatalouden tuloverolaki 543/1967, 2 § 2 momentti ja 21 §).
8 Elinkeinotulon verottamisesta annetun lain mukainen verotus
Ohjeessa edellä kuvattuja periaatteita voidaan soveltuvin osin soveltaa myös silloin, kun maa-alueen luovutusta verotetaan elinkeinotulon verottamisesta annetun lain (360/1968, EVL) mukaan.
EVL:n mukaisessa verotuksessa maaomaisuus kuuluu yleensä joko verovelvollisen käyttöomaisuuteen tai vaihto-omaisuuteen. EVL 1 §:n 2 momentissa tarkoitetulla yhteisöllä, kuten esimerkiksi osakeyhtiöllä, maaomaisuus voi kuulua myös EVL 12 a §:n mukaiseen muuhun omaisuuteen. Omaisuuslaji määräytyy omaisuuden käyttötarkoituksen perusteella.
Rahoitus-, vaihto-, sijoitus-, käyttö- ja muusta omaisuudesta saadut luovutushinnat ovat EVL 5 §:n mukaisesti veronalaisia tuloja. Eri omaisuuslajeihin kuuluvien hyödykkeiden hankintamenojen vähennyskelpoisuudesta on säädetty EVL 8 §:ssä.
EVL 14 §:n 1 momentissa säädetään vaihto-, sijoitus-, käyttö- sekä muun omaisuuden hankintamenon määräytymisestä. Kyseisen lainkohdan mukaan vaihto-, sijoitus- ja käyttöomaisuuden sekä muun omaisuuden hankintameno on hyödykkeen hankinnasta ja valmistuksesta johtuneiden välittömien menojen määrä.
Maakäyttösopimuksen perusteella maksettu maankäyttömaksu on kiinteistöön kohdistuva kustannus ja se luetaan EVL 14 §:n perusteella maa-alueen hankintamenoon. Vastaavasti maa-alueen hankintamenoon luetaan myös siihen kohdistuva kehittämiskorvaus. Sillä ei ole merkitystä, suoritetaanko maankäyttömaksu tai kehittämiskorvaus rahana vai esimerkiksi maa-alueena.
Oikeuskäytännössä maankäyttösopimuksen perusteella maksettavan maksun käsittely hankintamenona on ollut esillä korkeimman hallinto-oikeuden ennakkopäätöksessä KHO 2009:94.
KHO 2009:94
A:n omistamiensa liikepaikkojen läheisyyteen tulleiden kiertoliittymien rakentamisen johdosta maksamat korvaukset liittyivät A:n ja kunnan välisiin sopimuksiin alueen maankäytön kehittämisestä. Maksetut määrät olivat tonttien käytettävyyttä ja arvoa kohottavina osa tonttien hankintamenoa. Menoja ei voitu vähentää vuotuisin poistoin.
Toisin kuin TVL:ssa, EVL:ssa ei ole erityissäännöksiä kiinteän omaisuuden luovuttamisesta kunnalle, kuntayhtymälle, valtiolle tai maakunnalle. Poikkeuksena on EVL 6 §:n 5 momentin säännös, joka koskee luonnonsuojelualueeksi luovutettavan kiinteistön vaihtoa toiseen kiinteistöön. EVL:n mukaisessa verotuksessa ei luovutuksesta syntyvää verotettavaa voittoa laskettaessa voida käyttää hankintameno-olettamaa. Sillä ei ole merkitystä, luovutetaanko maata yksityiselle ostajalle vai kunnalle.
johtava veroasiantuntija Tero Määttä
johtava veroasiantuntija Mervi Hakkarainen